de
en
Schliessen
Detailsuche
Bibliotheken
Projekt
Impressum
Datenschutz
Detailsuche
Schnellsuche:
OK
Titel
Titel
Inhalt
Inhalt
Seite
Seite
Im Dokument suchen
Timing and properties of recycled pulsars
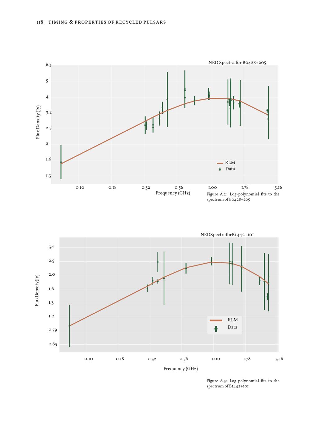
Spectra of standard calibrators
Wird geladen ...
Dissertation
Timing and properties of recycled pulsars
Entstehung
2017
JPEG-Download
verfügbare Breiten
JPEG groß
JPEG original
Seiten an
Seiten aus